Электрический дипольный момент . Поляризованность вещества. Электрическое поле внутри диэлектрика. Диэлектрическая проницаемость . Связь между нормальной составляющей вектора и поверхностной плотностью связанных зарядов.
Электрический дипольный момент
Простейшей системой точечных зарядов называется электрический диполь. Так называется совокупность равных по величине, но противоположных по знаку двух точечных зарядов и , сдвинутых относительно друга на некоторое расстояние.
Электрический момент диполя
Пусть - радиус-вектор, проведенный от отрицательного заряда к положительному. Вектор называется электрическим моментом диполя или дипольным моментом.
Дипольный момент системы:
Поляризованность вещества
Допустим, что диэлектрик состоит из электрически нейтральных молекул. Под действием приложенного электрического поля центр тяжести электронов в молекуле немного смещается относительно центра тяжести атомных ядер. Молекулы становятся электрическими диполями, ориентированными положительно заряженными концами в направлении электрического поля . В этом случае говорят, что диэлектрик поляризован, а само смещение положительных и отрицательных зарядов диэлектрика в разные стороны называют электрической поляризацией.
Для количественного описания поляризации диэлектрика пользуются вектором поляризации. Так называется дипольный момент единицы объёма диэлектрика, возникающий при его поляризации:
Связь между нормальной составляющей и поверхностной плотностью
Пример
Возьмем кусок однородного изотропного диэлектрика, имеющий форму косого параллелепипеда.

Поместим его в однородное электрическое поле, направленное параллельно боковым ребрам. На основаниях параллелепипда появятся поляризационные заряды с поверхностной плотностью . На боковых гранях поляризационных зарядов не возникнет, так как смещение зарядов внутри диэлектрика происходит параллельно этим граням.
Если - площадь основания параллелепипеда, то диэлектрик приобретет дипольный момент , где - вектор, проведенный от отрицательного основания параллелепипеда к положительному параллельно боковым ребрам. Вектор поляризации диэлектрика будет Пусть - единичный вектор внешней нормали к основанию параллелепипеда, заряженному положительно. Тогда (площадь основаня на высоту). Подставив в формулу вектора поляризации, получим
Хз надо или нет
Введём вектор электрической индукции Дифференциальная форма теоремы Гаусса для диэлектриков имеет вид где - объёмная плотность свободных зарядов. ? Далее, исходя из свойств дивергенции, С другой стороны, как следствие из общей теоремы Гаусса, В итоге получаем
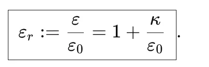
Диэлектрическая проницаемость
В изотропных диэлектриках поляризация пропорциональна полю
Подставляя в определение : =
Безразмерная проницаемость
