Неравенство Юнга
Пусть 0, а такие, что . Тогда выполняется
Доказательство = и . Функция выпукла вверх. Стало быть, для и выполнено неравенство Йенсена: . Положим , , , . Имеем: Экспонируя, получаем неравенство Юнга
Зададим
Неравенство Гёльдера
Пусть , ,
. Тогда
\sum_{k=1}^n a_k b_k ;\le; \left( \sum_{k=1}^n a_k^p \right)^{\tfrac{1}{p}} \left( \sum_{k=1}^n b_k^q \right)^{\tfrac{1}{q}}$$
Доказательство
По неравенству Юнга
Сложим по :
Получили, чтоОбозначим
Неравенство Минковского
Пусть — пространство с мерой , , и пусть . Тогда выполнено:
где
Доказательство и имеют конечную -норму, то тоже имеют конечную -норму.
Для начала покажем, что если
Это следует из неравенства Покажем, что это неравенство верно. Функция - выпуклая (так как её производная неотрицательна) ⇒ для неё выполнено неравенство Йенсена: Умножая обе части на , получаем
Из этого неравенства, действительно, следует существование -нормы у , так как при интегрировании правая часть как сумма сходящихся интегралов сама будет являться сходящимся интегралом и лежать в .
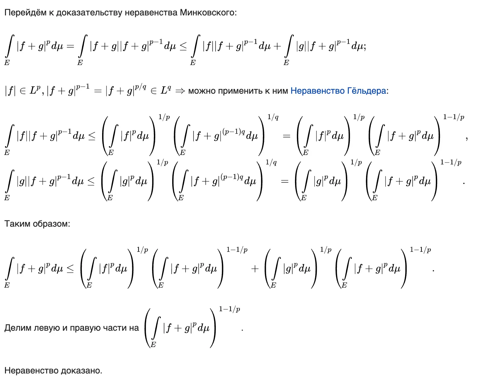
Перейдем к доказательству неравенства Минковского:
